- within Food, Drugs, Healthcare and Life Sciences topic(s)
- with readers working within the Advertising & Public Relations industries
- within Real Estate and Construction and Immigration topic(s)
Executive Summary
- The number of Medicare beneficiaries receiving artificial intelligence (AI)-enabled care on an annual basis increased by nearly 4000% between 2018, when CMS began covering AI-related Common Procedural Terminology (CPT) codes, and 2023, the most recent year for which data was available at the time of the analysis.
- Utilization trends vary significantly by state, potentially driven by social and economic factors and prevalence of clinical trials.
- Our findings suggest that utilization of AI-enabled care in the Medicare population will continue to grow rapidly, and the health sector needs to understand how to facilitate and incentivize the adoption of AI-enabled care to improve patient outcomes.
- For payors, this means developing appropriate rates, monitoring utilization and spending patterns, and considering policies to incentivize appropriate AI use and scaling.
- Providers will benefit from adopting AI technology as it becomes more effective and efficient at supporting the detection, analysis, and interpretation of clinically relevant data.
Background
AI-enabled care, as used in this brief, refers to medical services with American Medical Association (AMA)-approved CPT codes that are explicitly associated with AI tools. A 2023 paper (Wu et al.) focused on utilization among individuals enrolled in commercial health plans.1 Our analysis seeks to expand upon these findings by using nationwide Medicare claims and enrollment data to examine trends in utilization of AI-enabled care among Medicare beneficiaries from 2018–2023.
Key Findings
UTILIZATION OF AI-ENABLED CARE AMONG MEDICARE BENEFICIARIES INCREASED SIGNIFICANTLY BETWEEN 2018 AND 2023.
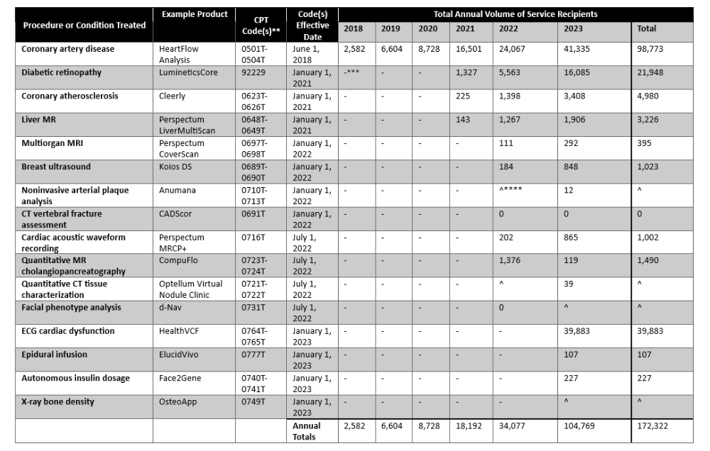
The total annual volume of Medicare claims and encounters for AI-enabled care increased from 4,135 in 2018 to 157,956 in 2023, reflecting a 3,720% increase in billing volume (see Figure 1). Similarly, the total annual volume of Medicare beneficiaries receiving AI-enabled care increased from 2,582 to 104,769, a 3,958% increase (see Table 1). The monthly volume of claims and encounters for AI-enabled care increased steadily from January 2018–June 2023 before spiking in Q3 2023, which may have been attributable to a clinical trial operated by Mayo Clinic during this time (see Figure 2).2 Rates of use among Medicare fee-for-service (FFS) and Medicare Advantage (MA) model enrollees were relatively similar throughout the study period.


STATE-LEVEL RATES OF AI-ENABLED CARE USE VARIED DRAMATICALLY IN 2023.
All states had at least one Medicare beneficiary that received AI-enabled care in 2023, but we observed nearly 100-fold variation in rates of use across states. In 2023, the rate of AI-enabled care use ranged from a low of 136 recipients per 1 million beneficiaries in Vermont, to a high of nearly 13,000 recipients per 1 million beneficiaries in Minnesota. With 15,240 distinct service recipients in 2023, Minnesota had by far the highest volume of recipients of any state, potentially due to the aforementioned clinical trial operated by Mayo Clinic during this time. The top five states other than Minnesota in terms of utilization rates included: Wisconsin, Arizona, South Dakota, Iowa, and Oklahoma. The bottom five states included: Vermont, Utah, Rhode Island, New Hampshire, and Hawaii (see Figure 3).
State-level variation in use may be driven by a number of factors, including:
- Socioeconomic conditions, which may impact market demand
- Share of a state's population residing in rural versus urban areas, which may impact access to care
- Presence of academic medical centers or well-resourced health systems, which may be more likely to provide innovative, technology-dependent services.

THE MOST FREQUENTLY UTILIZED TYPE OF AI-ENABLED CARE FROM 2018–2023 WERE SERVICES TO TREAT CORONARY ARTERY DISEASE.
CPT codes 0501T-0504T relating to the treatment of coronary artery disease had the highest volume of service recipients from 2018 to 2023, with nearly 100,000 Medicare beneficiaries receiving these services during this period. These findings align with findings from Wu et al., and these trends are likely driven by the fact that the coronary artery disease CPT codes were the first to be approved by the AMA in June 2018, more than two years before the next group of codes were approved in January 2021. It follows that three of the next four AI-specific CPT codes with the highest volume of recipients from 2018–2023 were those with January 2021 approvals by the AMA, including codes for AI-enabled care related to diabetic retinopathy, coronary atherosclerosis, and magnetic resonance (MR) imaging of the liver.
The last code among the five with highest utilization is the ECG cardiac dysfunction CPT code. While it was approved the latest on January 1, 2023, it was the second-highest utilized AI-enabled service in Medicare during the study period with almost 40,000 Medicare recipients. This is likely related to the Mayo Clinic ECG clinical trial.
Table 1. Total Annual Volume of Medicare Beneficiaries Receiving AI-Enabled Care by Type of AI-Enabled Care, 2018–2023*

Click here to view Table 1.
* The first four columns of this table are adapted from a table previously published by Wu et al.
** All of the listed CPT codes except for 92229 (diabetic retinopathy) were temporary codes in 2023 and did not have corresponding standard national payment amounts. Instead, they were "carrier-priced" by each individual Medicare Administrative Contractor. The national payment amount for 92229 was $45.75.
*** "-" represents null values for years before the CPT code was approved.
**** "^" represents censored values ranging from 1–10. Manatt is required to censor these results to comply with CMS data privacy rules.


Implications for Payors, Providers, and Patients
Although utilization and adoption levels vary significantly across states, AI-enabled care is here to stay and will likely continue to grow exponentially over the coming years. Payors will need to keep abreast of these trends including developing appropriate rates, monitoring utilization and spending patterns, and considering policies to incentivize appropriate use and scaling. Providers will benefit from the widespread adoption of AI technology as it becomes more effective and efficient at supporting the detection, analysis, and interpretation of clinically relevant data, allowing them to prioritize other tasks and focus on patient care.3 The hope is that these advances will ultimately benefit patients by improving their health outcomes and care experience.
Methods
This analysis leveraged Medicare claims and enrollment data to assess trends in AI-enabled care use.These data were licensed from CMS and include comprehensive FFS Medicare claims and Medicare Advantage encounter records. The analysis only leveraged data through 2023 because these were the most recent data available from CMS at the time the study was conducted.AI-enabled services were identified using CPT codes recorded on outpatient professional claims. Individuals were classified as a recipient of AI-enabled care if they had at least one outpatient professional claim with a relevant CPT code during the calendar year.
Footnotes
The content of this article is intended to provide a general guide to the subject matter. Specialist advice should be sought about your specific circumstances.