Regents of the University of Minnesota v. Gilead Sciences., Inc., CAFC 2021-2168
Gilead Sciences filed a petition for Inter Partes Review (IPR) against the University of Minnesota's U.S. patent No. 8,815,830 (the '830 Patent). Gilead challenged claims 1-9, 11-21, and 23-28 of the '830 Patent, and alleged that they are anticipated by U.S. pre-grant publication No. 2010/0016251 (Sofia). The Patent Trial and Appeal Board (PTAB) held that the Challenged Claims were anticipated, and the University of Minnesota appealed to the Court of Appeals for the Federal Circuit.
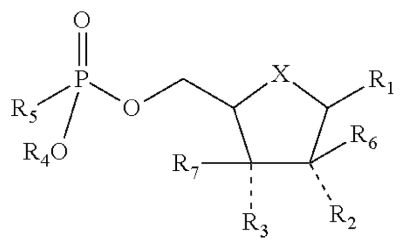
The '830 Patent is directed to phosphoramidate prodrugs of nucleoside derivatives, which prevent viral replication and tumor growth. Claim 1 was representative, and recites:
- A compound of formula I:

Claim 1 went on to define each of X and R1–R7 through lists of substituents. The substituents included further variable groups Rw, Rx, and Ry, which were also defined through lists of substituents. The full claim is quoted below, and is a standard format for claiming a chemical entity. Each variable group is shown in the formula, and many different possibilities for each variable group are listed in the alternative.
Gilead's sofosbuvir is marketed for treating hepatitis C infections, for which Gilead has FDA-approval. Sofosbuvir is also within the scope of the '830 Patent claim 1 when the correct species for each of X, R1–R7, Rw, Rx, and Ry are selected.
Both Gilead and the University of Minnesota agreed that Sofia disclosed every element of every one of the Challenged Claims, and would thus anticipate them if Sofia were prior art.
The Federal Circuit outlined the '830 Patent Family and showed where the publication of Sofia fit in the timeline of the '830 Patent continuity chain as follows.

As shown, the '830 Patent issued from NP4, which was filed after Sofia was published. If the subject matter of claim 1 was adequately described in any of NP3, NP2, or P1 then Sofia would not be prior art. Alternatively, if none of NP3, NP2, or P1 described claim 1 in such a way that the written description requirement under 35 U.S.C. § 112 was satisfied, then Sofia is prior art to claim 1.
At the PTAB, Gilead argued that the specifications of NP3, NP2, and P1 failed to support claim 1, and the priority date was, thus, after the publication of Sofia; i.e., Sofia is prior art to claim 1. And the PTAB held that none of NP3, NP2, or P1 included ipsis verbis support or obvious blaze marks to guide those skilled in the art to the claims of the '830 patent; the Challenged Claims were not entitled to priority to any of NP3, NP2, or P1 despite arguable explicit listings of the relevant species. Accordingly, the PTAB also held that Sofia is prior art and the Challenged Claims were anticipated and unpatentable under 35 U.S.C. § 102.
The Federal Circuit previously held that a genus of chemical compounds is sufficiently described if the specification provided the outer limits of the genus and a representative number of species. But the University of Minnesota did not argue that any of the priority documents met this standard. Instead it asserted that the earlier NP1 and P1 applications literally described, or provided "blaze marks" to select the species need to arrive at claim 1. In particular, it highlighted claim 47 of P1, which recited "[t]he compound of any one of claims 1–46 wherein R7 is hydrogen or (C1–C6)alkyl. Tracking through the "any one of claims 1–46," the University of Minnesota asserted that claim 47 "combined with P1 claim 45 (with its disclosure of R6 substituents), P1 claim 33 (with its disclosure of R5 substituents), P1 claim 21 (with its disclosure of the R3 substituent), P1 claim 13 (with its disclosure of R2 substituents), P1 claim 2 (with its disclosure of R1 substituents), and P1 claim 1 (with its disclosure of R4 substituents and of X), provides an ipsis verbis disclosure of the subgenus claimed in the '830 patent."
The Federal Circuit countered that "[f]ollowing this maze-like path, each step providing multiple alternative paths, is not a written description of what might have been described if each optional step had been set forth as the only one option." A "laundry list" of disclosures covering moieties from a collection of common chemical compounds yields an outcome that is "so long, and so interwoven, that it is quite unclear how many compounds actually fall within the described genera and subgenera."
Further, there was no ipsis verbis support nor sufficient blaze marks in the priority applications to guide the skilled artisan to the claims. The Federal Circuit agreed with the PTAB that the priority date for the '830 patent was after the publication date of Sofia, and the Challenged Claims were anticipated.
Patent practitioners, applicants, and inventors should think carefully about adding "blaze marks" that lead to the selection of any one species for every variable group. For example, the rationale for the selection of a species from a large group of substituents could be provided for every variable group. Further, selection criteria affecting end use (e.g., structure/function correlations) could be provided. Some suggest using AI to specifically list every combination necessary to guide the skilled artisan with clear blaze marks. However, the ballooning page numbers of applications drafted in such a fashion would likely be prohibitive in many cases. Future applicants may be unable to succeed under the blaze mark doctrine with disclosures that cover a large genus that include extensive and varied species.
Patent challengers should point out that the innumerable options for myriad variable groups render it impossible to follow the trail even where one or two trees are marked with inadequate blaze marks.
The '830 Patent Claim 1:
1. A compound of formula I:

wherein:
R1 is guanine, cytosine, thymine, 3-deazaadenine, or
uracil, optionally substituted by 1, 2, or 3 U; wherein each U is
independently halo, hydroxy, (C1-C6)alkyl,
(C3-C6)cycloalkyl,
(C1-C6)alkoxy,
(C3-C6)cycloalkyloxy,
(C1-C6)alkanoyl,
(C1-C6)alkanoyloxy, trifluoromethyl,
hydroxy(C1-C6)alkyl,
—(CH2)1-4P(?O)(ORw)2,
aryl, aryl(C1-C6)alkyl, or
NRxRy;
R2 is halo;
R6 and R7 are independently H or
(C1-C6)alkyl;
R3 is hydroxy;
R4 is hydrogen, (C1-C6)alkyl,
(C3-C6)cycloalkyl, aryl,
aryl(C1-C6)alkyl, or 2-cyanoethyl;
R5 is an amino acid;
X is oxy, thio, or methylene;
each Rw is independently hydrogen or
(C1-C6)alkyl;
Rx and Ry are each independently hydrogen,
(C1-C6)alkyl,
(C3-C6)cycloalkyl, phenyl, benzyl, phenethyl,
or (C1-C6)alkanoyl; or Rx and
Ry together with the nitrogen to which they are attached
are pyrrolidino, piperidino or morpholino;
wherein any (C1-C6)alkyl of R1,
R4-R7, Rw, Rx, and
Ry is optionally substituted with one or more halo,
hydroxy, (C1-C6)alkoxy,
(C3-C6)cycloalkyloxy,
(C1-C6)alkanoyl,
(C1-C6)alkanoyloxy, trifluoromethyl, azido,
cyano, oxo (?O), (C1-C6)alkyl,
(C3-C6)cycloalkyl,
(C3-C6)cycloalkyl(C1-C6)alkyl,
(C1-C6)alkyl-S—(C1-C6)alkyl-,
aryl, heteroaryl, alkyl(C1-C6)alkyl, or
heteroaryl(C1-C6)alkyl, or
NRajRak; wherein each Raj and
Rak is independently hydrogen,
(C1-C6)alkyl,
(C3-C6)cycloalkyl, phenyl, benzyl, or
phenethyl;
and wherein any aryl or heteroaryl may optionally be substituted
with one or more substituents selected from the group consisting of
halo, hydroxy, (C1-C6)alkyl,
(C3-C6)cycloalkyl,
(C1-C6)alkoxy,
(C3-C6)cycloalkyloxy,
(C1-C6)alkanoyl,
(C1-C6)alkanoyloxy, trifluoromethyl,
trifluoromethoxy, nitro, cyano, and amino;
or a pharmaceutically acceptable salt thereof.
The content of this article is intended to provide a general guide to the subject matter. Specialist advice should be sought about your specific circumstances.